Уравнение капиллярной конденсации случайно сработало на атомарном масштабе

Британские и китайские физики обнаружили, что уравнение Кельвина, которое описывает конденсацию воды в макроскопических капиллярах, неожиданно хорошо работает и на атомарном уровне — за пределами области своей применимости. Работоспособность термодинамического уравнения на таких масштабах авторы работы считают случайной и связывают ее с одновременной упругой деформацией стенок капилляров. Тем не менее на качественном уровне макроскопическое уравнение капиллярной конденсации должно работать в большинстве случаев и на атомарном масштабе, пишут ученые в Nature.
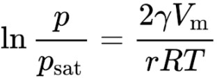
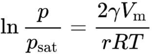
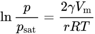
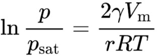
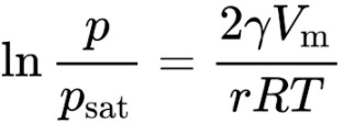
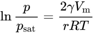
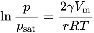
Уравнение Кельвина, связывающее между собой кривизну поверхности конденсирующейся жидкости и давление пара над ней, — одно из очень важных для физической химии соотношений. Оно помогает описать динамику конденсации жидкости в пористых материалах, зародышеобразование во время кристаллизации или процессы коррозии. Эту же взаимосвязь используют, когда с помощью адсорбции измеряют размер пор в пористых материалах.

Это уравнение выводится из термодинамических принципов и хорошо работает в равновесных системах, размер которых позволяет рассматривать конденсирующуюся жидкость (например воду) как непрерывную среду. Как только радиус водного мениска становится сравним с размером молекулы воды (это около 0,3 нанометра), условия, в которых получено это уравнение, перестают выполняться из-за дискретности молекулярной структуры вещества и это соотношение применять нельзя. Однако само уравнение предполагает, что, например, при относительной влажности около 50 процентов, радиус кривизны конденсирующейся из пара жидкости должен быть как раз порядка нескольких нанометров, а для гидрофильных поверхностей — еще меньше, и часто уравнение Кельвина пытаются использовать и за границами области его применимости.
