Озонирование воздуха заставило кожу создать вокруг человека окислительное поле

Химики из Германии, США и Дании выяснили, что выделяемые кожей человека вещества приводят к образованию вокруг него окислительного поля. Ученые поместили четверых человек в герметичный макет офиса и начали озонировать воздух до уровня, близкого к предельным допустимым концентрациям. Эксперимент показал, что озон взаимодействует с выделяемыми кожей человека летучими органическими соединениями, образуя ОН-радикалы. Эти же соединения реагируют с активными формами кислорода и озоном в воздухе комнаты, создавая окислительное поле человека. Исследование опубликовано в журнале Science.
Летучие органические соединения (ЛОС), выделяемые людьми через легкие и кожу, несут большую информацию о состоянии человека. По составу ЛОС в последние годы химики и врачи научились определять заболевания (онкологические и малярию), а за изучение связи эмоций с ЛОС человеческой кожи в 2021 году даже дали Шнобелевскую премию.
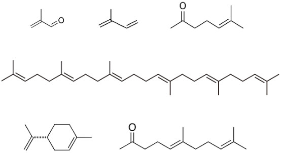
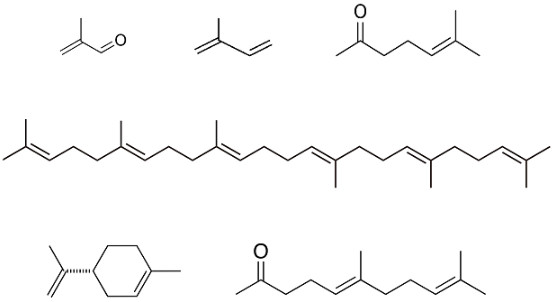
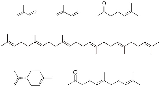
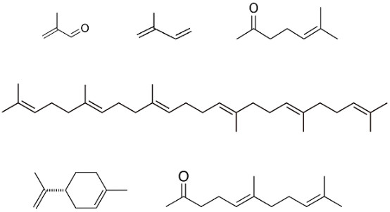
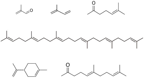
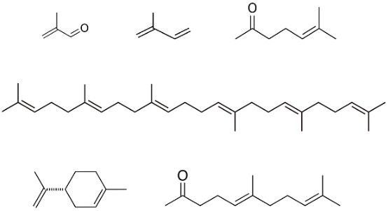
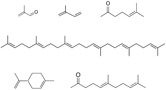
Одно из самых реакционно способных соединений воздуха — озон (естественного происхождения или синтезированный озонатором воздуха). Предельная допустимая концентрация (ПДК) озона в рабочей зоне по действующим в России стандартам составляет 100 микрограмм на кубометр, или около 45 объемных частей на миллиард. В замкнутом помещении, заполненном людьми, она, как правило, меньше — около пяти объемных частей на миллиард, во многом из-за того, что озон реагирует с ЛОС, содержащими двойную углерод-углеродную связь, в присутствии паров воды. В результате этой реакции — озонолиза — через несколько промежуточных состояний образуются альдегиды или кетоны и OH-радикал.

Стабильные альдегиды и кетоны могут участвовать в озонолизе и «удаленно» от тела, особенно при повышенной температуре и низкой влажности, когда испарение происходит легче. Эти же ЛОС реагируют с ОН-радикалами и в воздухе.
В клетке OH-радикал, будучи крайне активным соединением, за наносекунды вступает в реакцию с молекулами воды или органическими соединениями. Благодаря этому ОН-радикал — важный участник окислительного стресса организмов. В воздухе же гидроксил стабильнее и имеет период полужизни вплоть до десятков миллисекунд. Следовательно, должны существовать облака из свободных радикалов вокруг живых организмов, но непонятно, насколько оно велики, имеют ли значение и как можно на них повлиять.
