Сахарозаменители против сахара
О вреде употребления большого количества сахара в наше время знают, пожалуй, все. Сахар разрушает зубы: живущие в ротовой полости бактерии его сбраживают с образованием органических кислот, и эти кислоты могут растворять зубную эмаль, состоящую из гидроксил-апатита и фторапатита. Да и сами сахара и некоторые сахарозаменители (сорбит, маннит, ксилит, эритрит, мальтит) способны образовывать комплексы с ионами кальция и тем самым увеличивать растворимость гидроксилапатита, но этот эффект многократно слабее действия кислот.
Ещё более опасна повышенная концентрация глюкозы в крови. Повышается она обычно после еды, содержащей глюкозу или другие углеводы, расщепляющиеся в организме человека с образованием глюкозы, — сахарозу, мальтозу, лактозу, крахмал. Есть мнение, хотя и не бесспорное, что резкие скачки уровня глюкозы в крови (и, как следствие, столь же резкие скачки инсулина) могут постепенно привести к снижению чувствительности к инсулину тканей, поглощающих глюкозу, — прежде всего мышечной, жировой и печени, и развитию сахарного диабета второго типа. Способность пищевых продуктов повышать уровень глюкозы в крови характеризуется гликемическим индексом — показателем, который отражает скорость превращения вещества в пищеварительном тракте или в печени — в глюкозу. За эталон принята чистая глюкоза, чей гликемический индекс равен 100.
Концентрация глюкозы в крови поддерживается в узких пределах. При уровне ниже нормы её будет не хватать для питания мозга. Повышенная концентрация опасна из-за способности глюкозы реагировать с белками по аминогруппам остатков аминокислоты лизина. Реакция углеводов с белками называется сахароаминной, или реакцией Майара. Именно в результате этой реакции варёная сгущёнка и конфеты-ириски приобретают бурый цвет. Глюкоза способна вступать в эту реакцию благодаря наличию в её молекуле альдегидной группы, обладающей высокой реакционной способностью.
Простейшие альдегиды — формальдегид и ацетальдегид — ядовиты из-за высокой реакционной способности. Отравление ацетальдегидом — главная причина похмелья. Глюкоза же не ядовита благодаря тому, что в водном растворе самопроизвольно образует циклические формы, не имеющие альдегидной группы. Содержание альдегидной формы глюкозы в водном растворе всего 0,0026% — меньше, чем у других моносахаридов. Видимо, поэтому глюкоза так широко распространена в живой природе, и именно она служит энергоносителем в человеческом организме. Наличие же альдегидной группы позволяет превращать глюкозу в полисахариды — целлюлозу, крахмал, гликоген.
Белки выполняют в организме разнообразные функции: служат структурной основой тканей, являются рецепторами, катализируют биохимические реакции и т. д. Реакция белков с глюкозой, называемая также гликированием белков, приводит к их дезактивации, неспособности выполнять эти функции. Сильнее всего это проявляется при диабете, многие симптомы которого — результат гликирования тех или иных белков. В организме здоровых людей протекают те же процессы, только в гораздо меньшей степени. Чтобы избежать негативных последствий, повреждённые глюкозой белки должны заменяться вновь синтезированными, но не везде и не всегда это происходит полностью и своевременно. Сахароаминная реакция (она же — гликирование) вносит свой вклад и в процессы старения. К примеру, гликирование коллагена считается одним из важных факторов возрастных изменений кожи.
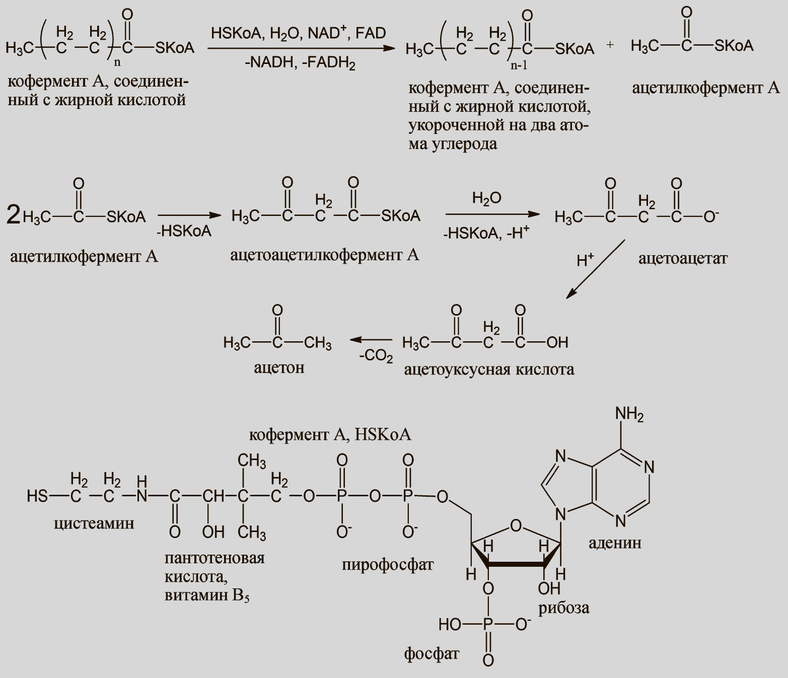
Когда глюкозы в крови больше нормы, из неё синтезируется гликоген, который вновь расщепляется до глюкозы, после того как её уровень в крови падает ниже нормы. Эти процессы регулируются гормонами поджелудочной железы — инсулином и глюкагоном. Если же глюкозы в крови нет или очень мало, а гликоген весь израсходован, глюкоза может синтезироваться из других веществ: некоторых аминокислот, глицерина, лимонной кислоты, пировиноградной, янтарной и других органических кислот. Но больших запасов таких веществ в организме обычно нет, и тогда в печени из жирных кислот начинает синтезироваться ацетоацетат, который поступает в кровь и становится основным источником питания мозга вместо глюкозы. Всё бы ничего, но ацетоацетат — это соль неустойчивой ацетоуксусной кислоты, в которую он превращается, присоединяя ион водорода, после чего отщепляется молекула углекислого газа и образуется ацетон — вещество гораздо более токсичное, чем глюкоза, способное к той же самой реакции с аминогруппами белков. Концентрация ионов водорода в крови низкая, поэтому скорость этого процесса невелика, но тем не менее ацетона образуется заметное количество. Такое явление называется кетозом. Это вполне нормальное физиологическое состояние для не вполне нормальных ситуаций — голодания или сильно несбалансированного питания с дефицитом или отсутствием углеводов. Получается, что глюкоза вредна, поскольку «портит» белки, но в её отсутствие то же самое будет делать ацетон. Как же быть? Ответ давно известен — избегать как избытка, так и недостатка глюкозы, соблюдать меру в потреблении углеводов.
Это далеко не единственный случай, когда что-то жизненно необходимое оказывается в то же время и вредным. Самый яркий пример такого вещества, пожалуй, кислород. Прожить без него можно не более нескольких минут, однако возникающие из него перекиси и свободные радикалы (активные формы кислорода) способны повреждать едва ли не любые жизненно важные биомолекулы.
Полный отказ от углеводов — одна крайность, а другая — частое употребление больших количеств продуктов, содержащих много глюкозы, сахарозы, мальтозы. Эти вещества быстро усваиваются и потому называются «быстрыми» сахарами. Необходимое количество углеводов лучше получать в виде крахмала, который расщепляется и усваивается медленнее, поэтому не приводит к столь резким скачкам глюкозы в крови, как «быстрые» сахара. Молекулы крахмала состоят из огромного количества остатков глюкозы, соединённых в цепочки, которые могут разветвляться. В разных продуктах крахмал разный, с разной степенью разветвлённости, причём более разветвлённый расщепляется быстрее, а длинные неразветвлённые участки могут даже вовсе не расщепиться и не усвоиться.
