Химики научились селективно замещать водород на концевом углеводородном фрагменте

Американские химики предложили катализатор, с помощью которого можно селективно замещать водород на концевом углеводородном фрагменте различных молекул. Новый способ позволяет напрямую получать важные органические молекулы из самого простого углеводородного сырья. Результаты исследования опубликованы в журнале Science.
Селективное замещение водорода в алканах — одна из наиболее интересных задач современной органической химии. Углеводородные группы есть в любом органическом соединении, это своеобразный «скелет» молекулы. Возможность замещать водород в таких группах открыла бы новые пути в органическом синтезе — например, позволила бы синтезировать больше соединений напрямую из нефтяного сырья (смеси различных углеводородов). Однако на практике функционализировать углеводородные фрагменты непросто. Во-первых, в молекуле, как правило, не одна углеводородная группа, а несколько, и реакционные способности их очень близки. Поэтому замещение нельзя провести селективно — оно будет происходить сразу во всех углеводородных группах, и вместо одного продукта получится смесь нескольких. Во-вторых, связи углерод -водород (С-Н связи) достаточно инертные, поэтому для их разрыва нужны жесткие условия — облучение светом или нагревание до высоких температур. Если в исходной молекуле есть другие функциональные группы, они могут тоже вступить в реакцию — например, окислиться или отщепиться.
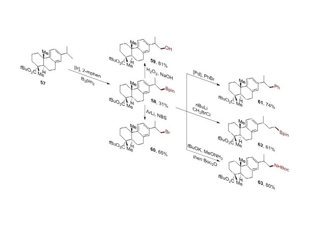
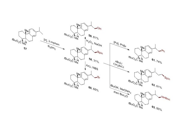
Химики из Университета Беркли под руководством Джона Хартвига (John Hartwig) предложили катализатор, с помощью которого можно селективно функционализировать углеводородную группу на конце молекулы. В группе Хартвига уже давно изучали процесс борилирования — взаимодействие с бис(пинаколато)дибороном, которое приводит к замещению одного из атомов водорода на пинаколборановый фрагмент (Bpin). Для активации С-Н связей используется катализатор — комплексы металла. Преимущественно в эту реакцию
